-
头道灵芝孢子粉是怎么回事? 头道灵芝孢子粉更好吗?
...
7年前3437 -
好灵芝是种出来的,不是生产出来的
...
7年前1481 -
芝素堂仿野生灵芝基地--好的灵芝是种出来的
灵芝宝宝开伞了,迎来最美年华...
7年前1150 -
芝素堂泰山灵芝基地生长进度实拍(2019年6月)
给大家看下芝素堂基地的灵芝宝宝生长的最新情况...
7年前1263 -
芝素堂泰山灵芝基地林下芝实拍(2019年6月)
仿野生种植,过一个月,灵芝开朵的时候可漂亮啦...
7年前1212 -
芝素堂泰山灵芝基地灵芝菌种实拍(2019年6月)
芝素堂灵芝基地在泰山西麓,风景优美,泉水清冽...
7年前1263 -
三萜的作用与功效 营养价值十分强大
...
7年前3431 -
三萜含量怎么判断?怎么看三萜含量?
...
7年前5798 -
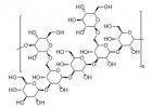
三萜的介绍和作用
三萜是在灵芝中发现的一类三萜类化合物,是灵芝的主要化学和药效成分。灵芝中所含三萜具有特别显著的生理活性。三萜类成分主要分布在子实体的外周部分,含量随子实体成熟度的提高而递增。三萜类化合物有些很苦,有...
7年前2950 -
灵芝孢子粉中灵芝多糖含量测定方法有待提高
...
7年前1920

